Moxifloxacin Hydrochloride is the hydrochloride salt preparation of Moxifloxacin, an 8-methoxy-fluoroquinone compound with broad-spectrum bactericidal activity against gram-positive and gram-negative strains. 8-methoxy-fluoroquinones are described to inhibit the activities of Topo II (DNA gyrase) and topoisomerase IV. The 8-methoxy group of Moxifloxacin is suggested to confer a lowered propensity for resistance development as compared to other C-8 substituted quinolones, and Moxifloxacin demonstrates potent activity against wild-type and first-step gyrase- and topoisomerase IV-resistant mutants. Moxifloxacin shows activity against methicillin-susceptible staphylococci, penicillin-susceptible and penicillin-resistant pneumococci, penicillin-susceptible and penicillin-resistant viridans group streptococci, group A streptococci, M. catarrhalis, and H. influenzae in vitro.

Moxifloxacin Hcl
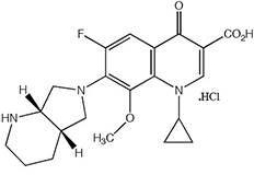
| Description | |
|---|---|
| 7-[(4aS,7aS)-1,2,3,4,4a,5,7,7a-octahydropyrrolo[3,4-b]pyridin-6-yl]-1-cyclopropyl-6-fluoro-8-methoxy-4-oxoquinoline-3-carboxylic acid hydrochloride | |
| 186826-86-8 | |
| C21H24FN3O4.HCL | |
| ACTIRA;AVALOX;Avelox;PROFLOX;BAY-12-8039;MoxifloxacineHCl;MOXIFLOXACIN HCL;Moxiflaxacin HCL;Moxifloxacinehydrochloride;MOXIFLOXACIN HYDROCHLORIDE | |
| An antibacterial agent that inhibits the activities of Topo II (DNA gyrase) and topoisomerase IV | |